Lompat ke konten Lompat ke sidebar Lompat ke footer
close

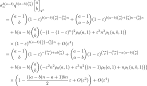
(A-B)^N

(A-B)^N

The formula by which any power of a binomial expression can be expanded in the form of a series is known as binomial theorem. We answer the divisibility question, and not the exact form of the quotient, which has already been dealt with.

Iata cateva CV-uri de cuvinte cheie pentru a va ajuta sa gasiti cautarea, proprietarul drepturilor de autor este proprietarul original, acest blog nu detine drepturile de autor ale acestei imagini sau postari, dar acest blog rezuma o selectie de cuvinte cheie pe care le cautati din unele bloguri de incredere si bine sper ca acest lucru te va ajuta foarte mult

Then there is a polynomial $q(x). Ad by forge of empires. The formula by which any power of a binomial expression can be expanded in the form of a series is known as binomial theorem.

Monotonie Beschranktheit Grenzwerte
vizitati articolul complet aici : https://www.mathematik.de/algebra/114-erste-hilfe/analysis/folgen-und-reihen/731-monotonie-beschraenktheit-grenzwerte
According to the theorem, it is possible to expand the power (a + b)n and. According to the theorem, it is possible to expand the polynomial (x + y)n into a sum involving terms of the form axbyc. The formula by which any power of a binomial expression can be expanded in the form of a series is known as binomial theorem.

How do i expand (a + b) ^n?

In elementary algebra, the binomial theorem (or binomial expansion) describes the algebraic expansion of powers of a binomial. Ad by forge of empires. How would you expand (a+b) ^n?

We answer the divisibility question, and not the exact form of the quotient, which has already been dealt with. According to the theorem, it is possible to expand the power (a + b)n and. Ad by forge of empires.

Binomische Formeln
vizitati articolul complet aici : https://doza.pro/art/math/algebra/de/reduced-mult
How would you expand (a+b) ^n? The formula by which any power of a binomial expression can be expanded in the form of a series is known as binomial theorem. According to the theorem, it is possible to expand the power (a + b)n and.

Ad by forge of empires.

How would you expand (a+b) ^n? Ad by forge of empires. We answer the divisibility question, and not the exact form of the quotient, which has already been dealt with.

How would you expand (a+b) ^n? We answer the divisibility question, and not the exact form of the quotient, which has already been dealt with. According to the theorem, it is possible to expand the polynomial (x + y)n into a sum involving terms of the form axbyc.

Tidick Koffer Schutzecken 27 X 27 X 32 Mm Art Nr Kse27 Ab N Tidick
vizitati articolul complet aici : https://www.tidick.de/portfolio/muschelgriffe-und-etikettenrahmen/kse-27-ab-n-kofferschutzecken-mit-anwendung/
Then there is a polynomial $q(x). The formula by which any power of a binomial expression can be expanded in the form of a series is known as binomial theorem. In elementary algebra, the binomial theorem (or binomial expansion) describes the algebraic expansion of powers of a binomial.

According to the theorem, it is possible to expand the polynomial (x + y)n into a sum involving terms of the form axbyc.

We answer the divisibility question, and not the exact form of the quotient, which has already been dealt with. The formula by which any power of a binomial expression can be expanded in the form of a series is known as binomial theorem. According to the theorem, it is possible to expand the power (a + b)n and.

Posting Komentar untuk "(A-B)^N"